
“Rabbim, ilim bakımından herşeyi kuşatmıştır. Yine de öğüt alıp-düşünmeyecek misiniz?” (Enam Suresi, 80)
“O’nun Katında her şey bir miktar (ölçü) iledir”
(Ra’d Suresi,
Leonardo Fibonacci, (Pisalı Leonardo, Leonardo Pisano d. 1170, ö. 1250), yaygın olarak ismiyle Fibonacci diye anılan, orta çağın en yetenekli matematikçisi olarak kabul edilen İtalyan matematikçi.
Bir kestirime göre Leonardo 1170 yılında İtalya’nın Pisa kentinde doğdu. Kesin doğum tarihi bilinmemektedir. Babası Guglielmo‘nun takma adı Bonaccio idi. Bu ad, iyi tabiatlı ya da sade ruhlu anlamına gelmekteydi. Annesi Alessandra Leonardo 9 yaşındayken öldü. Leonardo babasının takma adını miras olarak aldı. İtalyanca Filius Bonacci, Bonacci’nin oğlu anlamına gelmekteydi. Leonardo bu nedenle Fibonacci diye anılmaya başlandı.
Babası Guglielmo Cezayir’in Béjaïa limanı ile İtalya’nın Bugia kenti arasında bir ticaret postasını yönetmekteydi. Genç bir çocuk olan Leonardo babasına yardım etmek için onunla seyahat ederdi. Burası Leonardo’nun Hint-Arap sayı sistemini öğrendiği yerdir.
Fibonacci Hint-Arap sayıları ile aritmetik işlemler yapmanın Roma rakamları ile hesap yapmaktan çok daha basit, çok daha verimli olduğunu gördü. Leonardo bütün Akdeniz bölgesini gezdi. Dönemin önde gelen Arap matematikçiler ile çalışma olanağı buldu. Leonardo yaklaşık olarak 1200 yıllarında bu seyahatinden döndü. 1202 yılına gelindiğinde 32 yaşında, öğrendiklerini “abaküs kitabı” ya da “hesaplama kitabı” anlamına gelen Liber Abaci isimli yapıtında topladı. Yayınladığı bu yapıtında Hint-Arap Sayı Sistemi’ni avrupa’ya duyurdu.
Leonardo matematik ile bilimle ilgilenmeyi seven Roma İmparatoru II. Frederick ile dost oldu. 1240 senesinde Pisa cumhuriyeti kendisini Leonardo Bigollo namıyla ödüllendirip, onurlandırdı. Bir de maaş bağlandı. 19. yüzyılda Pisa’da Fibonacci heykeli yapılarak buraya dikilmiştir. Heykel bugün Camposanto’nun batı galerisi ile Piazza dei Miracoli tarihi mezarlığında bulunmaktadır.
FIBANOCCI SAYI DİZİSİ [*]
Daha önce 6. yüzyılda Hintli matematikçiler tarafından bulunmuş olan bu sayı dizisi Liber Abaci kitabında tavşanların üremesiyle ilgili problemin hesaplanması sonucu Fibonacci tarafından 1202 yılında ortaya konmuştu. Dizinin ilk sayı değeri 0, ikincisi 1, sonra her ardışık öğesiı de önceki iki öğenin değerinin toplamı alınarak bulunur. Bu halde 0, 1, 1(1+0), 2(1+1), 3(2+1), 5(3+2), 8(5+3), 13(8+5),21(13+8)… biçiminde artar.
Ya da 0, 1,1,2,3,5,8,13,21,34,55, 89, 144, 233, 377, 610, 987, 1597, 2584, 4181, 6765, 10946, … vb gösterilebilir. Fibanocci dizisi Grek alfabesindeki fi (Φ φ) harfiyle gösterilir.

Bu dizinin ileri elemanlarında, bir sonraki elemanın bir öncekine oranı Altın oran adı verilen, yaklaşık 1,618 (1:0,618) değerine eşit bir sayıyı verir.
Doğadaki canlılarda organların oranı altın oran adı verilen 1.618… sayısına uygunluk gösterir.
Antik mimari yapıtlar ile bazı modern mimari yapıtlar bu orana uygun tasarlanırlar. Altın orana uygun ölçülerdeki nesneler ile canlıların daha estetik olduğu, güzel göründüğü savunulur. Günümüz mimarlarının en önemli başvuru kitaplarından biri olan Ernst Neufert’ in yapıtında da (Leonardo Da Vinci’nin çizdiği) altın orana göre belirlenmiş insan vücudu temel alınmaktadır.
Mimar Sinan’ın da birçok eserinde Fibonacci dizisi görülmektedir. Örnekse Süleymaniye ile Selimiye Camileri’nin minarelerinde bu dizi vardır.
Ömer Hayyam üçgenindeki (bu üçgeni ondan 400 yıl sonra Pascal da bulmuştur) [**] tüm katsayılar ya da terimler yazılıp çapraz toplamları alındığında Fibonacci Dizisi ortaya çıkar.
Doğadan örnek vermek gerekirse, ayçiçeğinin merkezinden dışarıya doğru sağdan sola, soldan sağa doğru taneler sayıldığında çıkan sayılar Fibonacci Dizisinin ardışık terimleridir. Papatya Çiçeğinde de ayçiçeğinde olduğu gibi bir Fibonacci Dizisi vardır. Fibonacci dizisinde ardışık el birönceki öğenin oranı deki ardışık terimlerin farkıyla oluşan dizi de Fibonacci dizisidir.
Deniz kabuklularının helezon biçimindeki kabuklarında da altın oran bulunur.
İnsan akciğerindeki bronş dallanmalarında altın oran vardır. Trakea bir uzun, bir de kısa bronşa ayrılır. Sonraki bütün bronş dallanmaları da bir uzun, bir kısa olarak sürer gider. Bu uzun-kısa bronşların birbirine oranı altın oranı verir,
Çam kozalağındaki taneler kozalağın altındaki sabit bir noktadan kozalağın tepesindeki başka bir sabit noktaya doğru spiraller (eğriler) oluşturarak çıkarlar. İşte bu taneler soldan sağa, sağdan sola sayıldığında çıkan sayılar, Fibonacci Dizisi’nin ardışık terimleridir.Bitkilerin yapraklarının dizilişinde bir Fibonacci Dizisi söz konusudur; demek ki yaprakların diziliminde bu dizi vardır.
Görülüyor ki, bütün pozitif bilimlerde olduğu gibi en yalın aritmetik bilgisi bile insanoğlunu Tanrı fikrine yaklaştırmaktadır.
[Kaynak : Vikipedia]
——————————————————
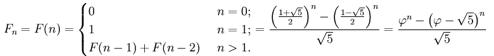
[*] Matematik olarak n’inci Fibonacci sayısı F(n) şu biçimde anlatılır :

[**] Ömer Hayyam üçgeni (Pascal üçgeni de denir) Ömer Hayyam, “Binom açılımı” olarak bilinen formülün katsayılarının kolayca elde edilmesine yarayan Pascal Üçgeni’ni Pascal’dan önce keşfedenler arasındadır. Pascal ise Ömer Hayyam’dan yaklaşık 400 yıl sonra aynı üçgen ile karşımıza çıkar.


I just added your blog site to my blogroll, I pray you would give some thought to doing the same.
çok önemli bir konu yazmışlar
bunu beğendim
Pretty nice post. I just stumbled upon your blog and wanted to say that I have really enjoyed browsing your blog posts. In any case I’ll be subscribing to your feed and I hope you write again soon!
evet gerçektende güzel yazmışlar beğendim
Anonymous beğendi açılınnn .d
gerçekten araştırmalarım arasında en beğendiğim site buydu ve buradaki şu söz beni çok etkiledi “Görülüyor ki, bütün pozitif bilimlerde olduğu gibi en yalın aritmetik bilgisi bile insanoğlunu Tanrı fikrine yaklaştırmaktadır.”
I like this site, but there is very little information but still did not help me .. Thank you!
I actually planned to compose a small note to thank for you for some of the pleasant secrets you are showing on this website.